全国2017年10月自考高等数学一真题
《自考视频课程》名师讲解,轻松易懂,助您轻松上岸!低至199元/科!


2017年10月自考高等数学一真题及答案
2017年10月自考高等数学一真题及答案,本试卷总分100分,考试时间150分钟。
一、单项选择题
本大题共l0小题,每小题3分,共30分。在每小题列出的备选项中只有一项是最符合题目要求的,请将其选出。
1.方程
的根为()
A.x=-1
B.x=0
C.x=1
D.x=2
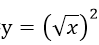
2.下列函数中与y=x相同的为()
A.![]()
B.![]()
C.![]()
D.![]()
3.设函数
,则有极限
()
A.不存在
B.-1
C.0
D.1
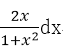
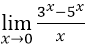
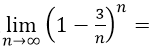
4.极限
()
A.e-3
B.![]()
C.![]()
D.e3
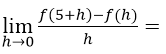
5.设函数f(x)=x2 ,则极限
()
A.5
B.10
C.15
D.20
6.函数
的微分dy=()
A.![]()
B.![]()
C.![]()
D.
7.曲线
的铅直渐近线的条数为()
A.1
B.2
C.3
D.4
8.曲线
的拐点为()
A.(0,0)
B.(-1,2)
C.(1,-2)
D.(1, 2)
9.定积分
()
A.-2
B.-1
C.0
D.1
10.函数
的全微分
()
A.![]()
B.![]()
C.dx+dy
D.dx-dy
二、简单计算题本大题共5小题,每小题4分,共20分。
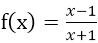
11.求函数
的反函数
。
12.求极限
。
13.设函数f(x)=sinlnx ,求导数f'(1) 。
14.求极限
。
15.求微分方程
的通解。
三、计算题
本大题共5小题,每小题5分,共25分。
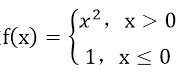
21.设函数
,讨论f(x) 在x=0处的连续性。
22.设函数f(x)二阶可导,求y=exf(x) 的二阶导数y'' 。
23.求函数
的极值。
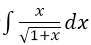
24.求不定积分
。
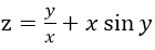
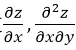
25.设函数
,求偏导数
。
四、简答题
综合题本大题共4小题,共25分。
31.已知工厂生产Q吨某产品的总成本函数C(Q)=2000+60Q(元),销售价格P=-0.1Q+100(元/吨),假定产销平衡。(1) 求总利润函数L(Q);(2) 问产量Q为多少时总利润最大?
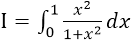
32.计算定积分
。
33.计算二重积分
,其中D是由曲线y=x2与
所围成的平面区域。
34.设曲线y=x3与x=1及x轴所围成的平面区域为D。(1) 求D的面积A;(2) 求D绕x轴一周的旋转体体积。
本文标签:江西自考 高等数学(一) 全国2017年10月自考高等数学一真题
转载请注明:文章转载自(http://www.zikao.jx.cn)
《江西自考网》免责声明:
1、由于各方面情况的调整与变化,本网提供的考试信息仅供参考,考试信息以省考试院及院校官方发布的信息为准。
2、本网信息来源为其他媒体的稿件转载,免费转载出于非商业性学习目的,版权归原作者所有,如有内容与版权问题等请与本站联系。联系邮箱:812379481@qq.com









