全国2008年4月高等教育自学考试线性代数(经管类
《自考视频课程》名师讲解,轻松易懂,助您轻松上岸!低至199元/科!
课程代码:04184
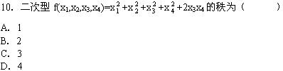
一、单项选择题(本大题共10小题,每小题2分,共20分)在每小题列出的四个备选项中只有一个是符合题目要求的,请将其代码填写在题后的括号内.错选、多选或未选均无分



二、填空题(本大题共10小题,每小题2分,共20分)
请在每小题的空格中填上正确答案.错填、不填均无分.

三、计算题(本大题共6小题,每小题9分,共54分)

四、证明题(本题6分) 
本文标签:江西自考 历年真题 全国2008年4月高等教育自学考试线性代数(经管类
转载请注明:文章转载自(http://www.zikao.jx.cn)
《江西自考网》免责声明:
1、由于各方面情况的调整与变化,本网提供的考试信息仅供参考,考试信息以省考试院及院校官方发布的信息为准。
2、本网信息来源为其他媒体的稿件转载,免费转载出于非商业性学习目的,版权归原作者所有,如有内容与版权问题等请与本站联系。联系邮箱:812379481@qq.com









